声学仿真分析中阻尼损失因子的获取方法
2022-01-08在声学分析中,结构的质量,刚度和阻尼是结构的声学性能的几个关键因素。当结构由振动辐射出的噪声为主要的噪声路径时,阻尼因素尤为重要,因此工程师关注阻尼的测试技术,本文具体介绍结构的阻尼损失和其几种测试方法
1. 阻尼损失因子的简介
系统的阻尼描述了结构的能量损耗,损耗的能量可以表示为:
其中C为阻尼系数,x为振动速度,ζ为阻尼比,η为阻尼损失因子,从公式来看阻尼损失因子是阻尼比的两倍关系。
结构振动的阻尼损失因子在每个频率上是不同的,因此在计算结构的声学特性时,一般采用1/3倍频带内的阻尼损失因子作为模型的输入。结构的振动响应在低频带内分离较好,在高频范围内随着频带内模态数增加,模态重叠度增大,这时在频段内的模态就不能很好的分离。中频区域由于全局模态向局部模态转换,同时具有介于低频和高频的特征,此时需要的损失因子是频带内平均模态损失因子的平均值。
一般模型中输入的阻尼损失因子的频率为50 Hz到10,000 Hz,这个频率带涵盖了低、中、高频率,有如下三种测试方法可以用来测试部件的阻尼损失因子:
1.半功率法 2.瞬态衰减法(T60) 3.稳态能量流方法
半功率法适用于模态密度分离较好的低频区域的阻尼损失因子测试;稳态能量流的方法适用于模态密度较大,每个频带内模态能量平均的情况;T60测试方法则是类似于测试混响时间通过能量衰减曲线斜率不同反应不同频段内的阻尼损失因子。
对于统计能量分析,认为任何子系统都是一系列的模态集合,因此我们认为瞬态衰减法更为简单和适用。
2. 阻尼损失因子测试的三种方法和原理
2.1 半功率法测系统阻尼的原理
对于一个有阻尼的测试系统,其在激励力的作用下的振动方程可以写成:
其中激励力是时间的函数可以表示为 ,激励力可以表示为阻抗和速度的函数。
下图为使用BBM的PAK系统测试的频响曲线,针对模态峰值输出结构的阻尼损失因子。
2.2 瞬态衰减法测系统阻尼的原理
对与一个有阻尼的自由振动系统来说,其自由振动方程可以表示为:
求解自由振动方程可以得到位移
从公式上可以看到位移随时间以指数衰减,一个周期内的总能量是势能和动能之和,可以表示为:
因此系统的能量随时间变化的函数可以写成:
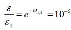
类似的采用在声学中采用混响时间 来描述结构系统的振动衰减特性,T60代表能量衰减60dB所需要的时间,即:
求解可以得到
因此测试得到总能量的衰减时间T60即可求出系统的阻尼损失因子,一般前期的衰减更为关注,因此现在又可以通过测试T20和T30来得到系统阻尼。
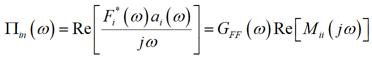
2.3 稳态能量流测试阻尼损失因子
稳态能量流是使用能量去激励系统,系统达到稳定时,输入系统的能量与损耗的能量相等,即:
测试的示意图为:
激振器产生稳定的输入能量,输入的能量可以通过测试激励点的力和阻抗来计算。
想要得到结构的输入能量还要测试结构的阻抗,下图为测试阻抗的示意图。
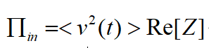
左侧图为振动测试位置,右侧为测试用的阻抗头。通过测试的振动速度和阻抗可以算出输入能量:
其中Z为结构的阻抗,Re[]代表阻抗的实部。
3. 瞬态衰减法测系统阻尼系统介绍
从上述理论介绍可以看出瞬态衰减法是最简单和实用的测试结构频带内阻尼损失因子的方法。重庆胜德新公司开发了基于瞬态衰减法的阻尼测试系统,由采集系统和后处理能够轻松得到结构的阻尼。
下图为某汽车玻璃的阻尼测试,红色的点为敲击位置,黄色的为加速度传感器的布置位置。
通过多次敲击不同位置的脉冲响应经过信号处理即可得到结构的阻尼损耗因子。

